Foundation (CVFoundation.dll) 15.1
Loading...
Searching...
No Matches
Blob Functions

Functions

cvbres_t FBlobBinariseImage (IMG Src, TDRect *Rect, long Index, long Low, long High, IMG Dst)
 Binarize the image using a fixed threshold.
 
FBLOB FBlobCreate (IMG Image, long Index)
 Initializes the FBlob object that is needed for the usage of the FBlob tool.
 
cvbres_t FBlobExec (FBLOB Handle)
 Executes blob analysis with the current settings.
 
cvbres_t FBlobGetBlobSize (FBLOB Handle, long BlobNum, long &Size)
 Returns the size of a found blob in pixels.
 
cvbres_t FBlobGetBoundingBox (FBLOB Handle, long BlobNum, long &x, long &y, long &dx, long &dy)
 Returns the bounding box of a blob object.
 
cvbres_t FBlobGetBoundingBoxEx (FBLOB Handle, long BlobNum, long &x, long &y, long &dx, long &dy)
 Returns the bounding box of a blob object.
 
cvbres_t FBlobGetCenter (FBLOB Handle, long BlobNum, long &CenterX, long &CenterY)
 Returns the center of gravity of the object (moments m10 and m01).
 
cvbres_t FBlobGetCenterEx (FBLOB Handle, long BlobNum, double &CenterX, double &CenterY)
 Returns the center of gravity of the object (moments m10 and m01) in sub-pixels.
 
cvbres_t FBlobGetExecTime (FBLOB Handle, double &Time)
 Returns the execution time of the last blob analysis.
 
cvbres_t FBlobGetLimitArea (FBLOB Handle, long &AreaMin, long &AreaMax)
 Returns the parameter settings for the size of the blob area.
 
cvbres_t FBlobGetLimitHeight (FBLOB Handle, long &Min, long &Max)
 Returns the parameter settings for the blob height.
 
cvbres_t FBlobGetLimitWidth (FBLOB Handle, long &Min, long &Max)
 Returns the parameter settings for the blob width.
 
cvbres_t FBlobGetMaxExecTime (FBLOB Handle, long &MaxTimeMS)
 Returns the maximum execution time the blob analysis should spend.
 
cvbres_t FBlobGetMinMomentPoints (FBLOB Handle, long BlobNum, long &x0, long &y0, long &x1, long &y1)
 Get the points describing the minimum moment axis by intersecting the bounding box with the minimum moment axis going through the center of the blob.
 
cvbres_t FBlobGetMinMomentPointsEx (FBLOB Handle, long BlobNum, long &x0, long &y0, long &x1, long &y1)
 Get the points describing the minimum moment axis by intersecting the bounding box with the minimum moment axis going through the center of the blob.
 
cvbres_t FBlobGetMoments (FBLOB Handle, long BlobNum, double &Min, double &Max, double &Ratio, double &Angle)
 Get the minimum and maximum moments of inertia (2nd order moments), the aspect ratio and the angle of the minimum moment of inertia.
 
cvbres_t FBlobGetNumBlobs (FBLOB Handle, long &Count)
 Retrieve the number of blobs found.
 
cvbres_t FBlobGetObjectFeatureRange (FBLOB Handle, long &FeatureMin, long &FeatureMax)
 Returns the gray-value range that is used for binarizing.
 
cvbres_t FBlobGetObjectTouchBorder (FBLOB Handle, long &Mask)
 Returns the filter setting for objects which are touching one or more borders.
 
cvbres_t FBlobGetSize (FBLOB Handle, long BlobNum, long &Size)
 Returns the size of a found blob in pixels.
 
cvbres_t FBlobGetSkipBinarization (FBLOB Handle, cvbbool_t &Skip)
 Specify whether the binarization should be carried out inside the blob tool or whether the tool may safely assume that the input is already a binarized 8 bits per pixel image.
 
cvbres_t FBlobReset (FBLOB Handle)
 Resets the FBlob object.
 
cvbres_t FBlobSetArea (FBLOB Handle, long Index, long left, long top, long right, long bottom)
 Defines an area of interest to work on in the image.
 
cvbres_t FBlobSetImage (FBLOB Handle, IMG Image, long Index)
 Passes a new image to the FBlob object without the internal tables in the blob object having to be rebuilt.
 
cvbres_t FBlobSetLimitArea (FBLOB Handle, long AreaMin, long AreaMax)
 Sets the parameter settings for the size of the blob area.
 
cvbres_t FBlobSetLimitHeight (FBLOB Handle, long Min, long Max)
 Sets the filter for objects which have a height between Min and Max.
 
cvbres_t FBlobSetLimitWidth (FBLOB Handle, long Min, long Max)
 Sets the filter for objects which have a width between Min and Max.
 
cvbres_t FBlobSetMaxExecTime (FBLOB Handle, long MaxTimeMS)
 Set the maximum time blob should spend in execution.
 
cvbres_t FBlobSetObjectFeature (FBLOB Handle, long Threshold, long Feature)
 Defines a threshold that is used for transformation to a binary image.
 
cvbres_t FBlobSetObjectFeatureRange (FBLOB Handle, long FeatureMin, long FeatureMax)
 Returns the gray-value range that is used for binarizing.
 
cvbres_t FBlobSetObjectTouchBorder (FBLOB Handle, long Mask)
 Sets the filter setting for objects which are touching one or more borders.
 
cvbres_t FBlobSetSkipBinarization (FBLOB Handle, cvbbool_t Skip)
 Specify whether the binarization should be carried out inside the blob tool or whether the tool may safely assume that the input is already a binarized 8 bits per pixel image.
 
cvbres_t FBlobSetSortMode (FBLOB Handle, TBlobSortMode SortMode, long X, long Y, long LastEntry, TBlobSortDirection Order)
 Set up the sort mode and the sorting order of the blob objects.
 
cvbres_t FBlobSetSortParameter (FBLOB Handle, TBlobSortMode SortMode, long X, long Y, TBlobSortDirection Order)
 Set up the sort mode and the sorting order for all blob objects.
 
cvbres_t FBlobSort (FBLOB Handle)
 Sorts the objects by certain criteria.
 
BOOL IsFBlob (FBLOB Handle)
 Check if a handle points to an FBLOB object.
 

Detailed Description

Function Documentation

◆ FBlobBinariseImage()

cvbres_t FBlobBinariseImage ( IMG Src,
TDRect * Rect,
long Index,
long Low,
long High,
IMG Dst )

Binarize the image using a fixed threshold.

Parameters
[in]SrcHandle of source image object to binarize.
[in]RectArea of interest in the image to binarize.
[in]IndexPlane index in the source image to binarize.
[in]LowLower gray-value boundary.
[in]HighUpper gray-value boundary.
[out]DstHandle of destination image.
Returns
0 : OK
< 0: an error occurred.
Supported platforms:
Win32
Win64
Related Topics:
FBlobSetSkipBinarization, FBlobGetSkipBinarization

◆ FBlobCreate()

FBLOB FBlobCreate ( IMG Image,
long Index )

Initializes the FBlob object that is needed for the usage of the FBlob tool.

Attention
For every object that has been created with FBlobCreate, it is necessary to destroy it at the end. The handle of the FBlob object can be destroyed by calling ReleaseObject.
Parameters
[in]ImageHandle of image object. May be NULL.
[in]IndexPlane index in the image to work on.
Returns
If the return value is != 0 a valid Blob handle was created, otherwise NULL is returned on an error.
Supported platforms:
Win32
Win64
Related Topics:
ReleaseImage

◆ FBlobExec()

cvbres_t FBlobExec ( FBLOB Handle)

Executes blob analysis with the current settings.

Parameters
[in]HandleHandle of FBlob object.
Returns
0 : OK
< 0: an error occurred.
Supported platforms:
Win32
Win64

◆ FBlobGetBlobSize()

cvbres_t FBlobGetBlobSize ( FBLOB Handle,
long BlobNum,
long & Size )

Returns the size of a found blob in pixels.

Parameters
[in]HandleHandle of FBlob object.
[in]BlobNumNumber of object (blob).
[out]SizeSize of the blob in pixels.
Returns
0 : OK
< 0: an error occurred.
Supported platforms:
Win32
Win64

◆ FBlobGetBoundingBox()

cvbres_t FBlobGetBoundingBox ( FBLOB Handle,
long BlobNum,
long & x,
long & y,
long & dx,
long & dy )

Returns the bounding box of a blob object.

Parameters
[in]HandleHandle of FBlob object.
[in]BlobNumNumber of blob object for which to retrieve the bounding box.
[out]xLeft top position of bounding box.
[out]yLeft top position of bounding box.
[out]dxWidth of the bounding box minus one.
[out]dyHeight of the bounding box minus one.
Returns
0 : OK
< 0: an error occurred.
Supported platforms:
Win32
Win64

◆ FBlobGetBoundingBoxEx()

cvbres_t FBlobGetBoundingBoxEx ( FBLOB Handle,
long BlobNum,
long & x,
long & y,
long & dx,
long & dy )

Returns the bounding box of a blob object.

Parameters
[in]HandleHandle of FBlob object.
[in]BlobNumNumber of blob object for which to retrieve the bounding box.
[out]xLeft top position of bounding box.
[out]yLeft top position of bounding box.
[out]dxWidth of the bounding box.
[out]dyHeight of the bounding box.
Returns
0 : OK
< 0: an error occurred.
Supported platforms:
Win32
Win64

◆ FBlobGetCenter()

cvbres_t FBlobGetCenter ( FBLOB Handle,
long BlobNum,
long & CenterX,
long & CenterY )

Returns the center of gravity of the object (moments m10 and m01).

Attention
This function is deprecated. Use instead FBlobGetCenterEx.
Parameters
[in]HandleHandle of FBlob object.
[in]BlobNumNumber of blob object.
[out]CenterXX-coordinate of the center of gravity of the object.
[out]CenterYY-coordinate of the center of gravity of the object.
Returns
0 : OK
< 0: an error occurred.
Supported platforms:
Win32
Win64
Related Topics:
FBlobGetCenterEx

◆ FBlobGetCenterEx()

cvbres_t FBlobGetCenterEx ( FBLOB Handle,
long BlobNum,
double & CenterX,
double & CenterY )

Returns the center of gravity of the object (moments m10 and m01) in sub-pixels.

Parameters
[in]HandleHandle of FBlob object.
[in]BlobNumNumber of blob object.
[out]CenterXX-coordinate of the center of gravity of the object.
[out]CenterYY-coordinate of the center of gravity of the object.
Returns
0 : OK
< 0: an error occurred.
Supported platforms:
Win32
Win64
Related Topics:
FBlobGetCenter

◆ FBlobGetExecTime()

cvbres_t FBlobGetExecTime ( FBLOB Handle,
double & Time )

Returns the execution time of the last blob analysis.

Parameters
[in]HandleHandle of FBlob object.
[out]TimeMeasured time in seconds.
Returns
0 : OK
< 0: an error occurred.
Supported platforms:
Win32
Win64

◆ FBlobGetLimitArea()

cvbres_t FBlobGetLimitArea ( FBLOB Handle,
long & AreaMin,
long & AreaMax )

Returns the parameter settings for the size of the blob area.

Parameters
[in]HandleHandle of FBlob object.
[out]AreaMinLower limit of the size of a blob area.
[out]AreaMaxUpper limit of the size of a blob area.
Returns
0 : OK
< 0: an error occurred.
Supported platforms:
Win32
Win64
Related Topics:
FBlobSetLimitArea

◆ FBlobGetLimitHeight()

cvbres_t FBlobGetLimitHeight ( FBLOB Handle,
long & Min,
long & Max )

Returns the parameter settings for the blob height.

Parameters
[in]HandleHandle of FBlob object.
[out]MinLower limit of blob height (only blobs that are larger than the lower limit are found).
[out]MaxUpper limit of blob height (only blobs that are smaller than the upper limit are found).
Returns
0 : OK
< 0: an error occurred.
Supported platforms:
Win32
Win64
Related Topics:
FBlobSetLimitHeight

◆ FBlobGetLimitWidth()

cvbres_t FBlobGetLimitWidth ( FBLOB Handle,
long & Min,
long & Max )

Returns the parameter settings for the blob width.

Parameters
[in]HandleHandle of FBlob object.
[out]MinLower limit of blob width (only blobs that are larger than the lower limit are found).
[out]MaxUpper limit of blob width (only blobs that are smaller than the upper limit are found).
Returns
0 : OK
< 0: an error occurred.
Supported platforms:
Win32
Win64
Related Topics:
FBlobSetLimitWidth

◆ FBlobGetMaxExecTime()

cvbres_t FBlobGetMaxExecTime ( FBLOB Handle,
long & MaxTimeMS )

Returns the maximum execution time the blob analysis should spend.

Parameters
[in]HandleHandle of FBlob object.
[out]MaxTimeMSMaximum execution time in milliseconds. If the function isn't in use -1 is returned.
Returns
0 : OK
< 0: an error occurred.
Supported platforms:
Win32
Win64
Related Topics:
FBlobSetMaxExecTime

◆ FBlobGetMinMomentPoints()

cvbres_t FBlobGetMinMomentPoints ( FBLOB Handle,
long BlobNum,
long & x0,
long & y0,
long & x1,
long & y1 )

Get the points describing the minimum moment axis by intersecting the bounding box with the minimum moment axis going through the center of the blob.

Attention
This value is not meaningful for all objects, for instance circles. See FBlobGetMoments - Ratio.
Parameters
[in]HandleHandle of FBlob object.
[in]BlobNumNumber of blob object.
[out]x0X-coordinate of the first point on the moment axis.
[out]y0Y-coordinate of the first point on the moment axis.
[out]x1X-coordinate of the second point on the moment axis.
[out]y1Y-coordinate of the second point on the moment axis.
Returns
0 : OK
< 0: an error occurred.
Supported platforms:
Win32
Win64
Related Topics:
FBlobGetMoments

◆ FBlobGetMinMomentPointsEx()

cvbres_t FBlobGetMinMomentPointsEx ( FBLOB Handle,
long BlobNum,
long & x0,
long & y0,
long & x1,
long & y1 )

Get the points describing the minimum moment axis by intersecting the bounding box with the minimum moment axis going through the center of the blob.

Attention
This value is not meaningful for all objects, for instance circles. See FBlobGetMoments - Ratio.
Parameters
[in]HandleHandle of FBlob object.
[in]BlobNumNumber of blob object.
[out]x0X-coordinate of the first point on the moment axis.
[out]y0Y-coordinate of the first point on the moment axis.
[out]x1X-coordinate of the second point on the moment axis.
[out]y1Y-coordinate of the second point on the moment axis.
Returns
0 : OK
< 0: an error occurred.
Supported platforms:
Win32
Win64
Related Topics:
FBlobGetMoments

◆ FBlobGetMoments()

cvbres_t FBlobGetMoments ( FBLOB Handle,
long BlobNum,
double & Min,
double & Max,
double & Ratio,
double & Angle )

Get the minimum and maximum moments of inertia (2nd order moments), the aspect ratio and the angle of the minimum moment of inertia.

Parameters
[in]HandleHandle of FBlob object.
[in]BlobNumNumber of blob object.
[out]MinMinimum moment of inertia.
The minimum and maximum moments of inertia of the object are calculated from the second-order central moments: FormelMinMoments
[out]MaxMaximum moment of inertia.
The minimum and maximum moments of inertia of the object are calculated from the second-order central moments: FormelMaxMoments
[out]RatioAspect ratio of the blob (Min/Max).
[out]AngleAngle of the minimum moment of inertia in radians.
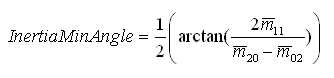
InertiaMinAngle is the angle in radians (0...p ) that the axis of the minimum moment of inertia encloses together with the X-axis. This parameter is frequently used as a measure for the orientation of an object. The axis always runs through the center of gravity of the area.
There are objects, for example circles, which do not have any pronounced direction of this axis. However, FBlob also returns an angle for these objects because sampling effects and the representation of objects in a digital raster also result in a certain angle for a circle. This value is only relevant if, for example, the InertiaRatio parameter shows a significant difference between the minimum and maximum moments of inertia. This angle depends very much on quantization and noise effects.
Furthermore, there are objects which have multiple axes of inertia which are of equal weight (e.g. the letter M). Which angle is calculated here again depends on quantization and noise effects. If several identical objects exist in an image, this angle may still assume different values.
IntertiaMinAngle is calculated from the central moments: FormelMinMomentsAxisAngle





Another way of interpreting this angle is to imagine every image point of an object as an independent point on the XY plane. If a straight line is fitted to this distribution of points by the least squares method, this line runs through the center of gravity of the area and has the angle InertiaMinAngle to the X-axis.
Returns
0 : OK
< 0: an error occurred.
Supported platforms:
Win32
Win64
Related Topics:
FBlobSetMaxExecTime

◆ FBlobGetNumBlobs()

cvbres_t FBlobGetNumBlobs ( FBLOB Handle,
long & Count )

Retrieve the number of blobs found.

Parameters
[in]HandleHandle of FBlob object.
[out]CountNumber of blobs found in the image.
Returns
0 : OK
< 0: an error occurred.
Supported platforms:
Win32
Win64

◆ FBlobGetObjectFeatureRange()

cvbres_t FBlobGetObjectFeatureRange ( FBLOB Handle,
long & FeatureMin,
long & FeatureMax )

Returns the gray-value range that is used for binarizing.

The two threshold values FeatureMin and FeatureMax define the gray value range that is set to 1. The values under the lower threshold and upper the upper threshold are set to 0.

Parameters
[in]HandleHandle of FBlob object.
[out]FeatureMinMinimum gray-value of features.
[out]FeatureMaxMaximum gray-value of features.
Returns
0 : OK
< 0: an error occurred.
Supported platforms:
Win32
Win64
Related Topics:
FBlobSetObjectFeatureRange, FBlobSetObjectFeature

◆ FBlobGetObjectTouchBorder()

cvbres_t FBlobGetObjectTouchBorder ( FBLOB Handle,
long & Mask )

Returns the filter setting for objects which are touching one or more borders.

Parameters
[in]HandleHandle of FBlob object.
[out]MaskCurrently used border mask. See TBlobTouchBorderFilter for possible settings.
Returns
0 : OK
< 0: an error occurred.
Supported platforms:
Win32
Win64
Related Topics:
FBlobSetObjectTouchBorder, TBlobTouchBorderFilter

◆ FBlobGetSize()

cvbres_t FBlobGetSize ( FBLOB Handle,
long BlobNum,
long & Size )

Returns the size of a found blob in pixels.

Parameters
[in]HandleHandle of FBlob object.
[in]BlobNumNumber of object (blob).
[out]SizeSize of the blob in pixels.
Returns
0 : OK
< 0: an error occurred.
Supported platforms:
Win32
Win64

◆ FBlobGetSkipBinarization()

cvbres_t FBlobGetSkipBinarization ( FBLOB Handle,
cvbbool_t & Skip )

Specify whether the binarization should be carried out inside the blob tool or whether the tool may safely assume that the input is already a binarized 8 bits per pixel image.

Parameters
[in]HandleHandle of FBlob object.
[out]SkipTRUE specifies that the binarization is skipped.
FALSE indicates that the binarization is done inside the blob tool.
Returns
0 : OK
< 0: an error occurred.
Supported platforms:
Win32
Win64
Related Topics:
FBlobSetSkipBinarization

◆ FBlobReset()

cvbres_t FBlobReset ( FBLOB Handle)

Resets the FBlob object.

Attention
If a memory overflow occurs in an FBlob object the object has to be reset. In normal circumstances this function will only be called internally.
Parameters
[in]HandleHandle of FBlob object.
Returns
0 : OK
< 0: an error occurred.
Supported platforms:
Win32
Win64
Related Topics:
FBlobCreate

◆ FBlobSetArea()

cvbres_t FBlobSetArea ( FBLOB Handle,
long Index,
long left,
long top,
long right,
long bottom )

Defines an area of interest to work on in the image.

Parameters
[in]HandleHandle of FBlob object.
[in]IndexPlane index to work on.
[in]leftFirst column of the area of interest.
[in]topFirst row of the area of interest.
[in]rightLast column of the area of interest.
[in]bottomLast row of the area of interest.
Returns
0 : OK
< 0: an error occurred.
Supported platforms:
Win32
Win64

◆ FBlobSetImage()

cvbres_t FBlobSetImage ( FBLOB Handle,
IMG Image,
long Index )

Passes a new image to the FBlob object without the internal tables in the blob object having to be rebuilt.

Parameters
[in]HandleHandle of FBlob object.
[in]ImageHandle of image object. May be NULL.
[in]IndexPlane index of the image to work on.
Returns
0 : OK
< 0: an error occurred.
Supported platforms:
Win32
Win64
Related Topics:
FBlobCreate

◆ FBlobSetLimitArea()

cvbres_t FBlobSetLimitArea ( FBLOB Handle,
long AreaMin,
long AreaMax )

Sets the parameter settings for the size of the blob area.

Parameters
[in]HandleHandle of FBlob object.
[in]AreaMinLower limit of the size of a blob area.
[in]AreaMaxUpper limit of the size of a blob area.
Returns
0 : OK
< 0: an error occurred.
Supported platforms:
Win32
Win64
Related Topics:
FBlobGetLimitArea

◆ FBlobSetLimitHeight()

cvbres_t FBlobSetLimitHeight ( FBLOB Handle,
long Min,
long Max )

Sets the filter for objects which have a height between Min and Max.

Parameters
[in]HandleHandle of FBlob object.
[in]MinLower limit of blob height (only blobs that are larger than the lower limit are found).
Set to -1 to turn the filter off.
[in]MaxUpper limit of blob height (only blobs that are smaller than the upper limit are found).
Set to -1 to turn the filter off.
Returns
0 : OK
< 0: an error occurred.
Supported platforms:
Win32
Win64
Related Topics:
FBlobGetLimitHeight

◆ FBlobSetLimitWidth()

cvbres_t FBlobSetLimitWidth ( FBLOB Handle,
long Min,
long Max )

Sets the filter for objects which have a width between Min and Max.

Parameters
[in]HandleHandle of FBlob object.
[in]MinLower limit of blob width (only blobs that are larger than the lower limit are found).
Set to -1 to turn the filter off.
[in]MaxUpper limit of blob width (only blobs that are smaller than the upper limit are found).
Set to -1 to turn the filter off.
Returns
0 : OK
< 0: an error occurred.
Supported platforms:
Win32
Win64
Related Topics:
FBlobGetLimitWidth

◆ FBlobSetMaxExecTime()

cvbres_t FBlobSetMaxExecTime ( FBLOB Handle,
long MaxTimeMS )

Set the maximum time blob should spend in execution.

Attention
The minimum time will be the time spent in binarization, so setting this value too low will not result in useful behaviour.
Parameters
[in]HandleHandle of FBlob object.
[in]MaxTimeMSMaximum execution time in milliseconds that should be spent inside blob.
Returns
0 : OK
< 0: an error occurred.
Supported platforms:
Win32
Win64
Related Topics:
FBlobGetMaxExecTime

◆ FBlobSetObjectFeature()

cvbres_t FBlobSetObjectFeature ( FBLOB Handle,
long Threshold,
long Feature )

Defines a threshold that is used for transformation to a binary image.

Parameters
[in]HandleHandle of FBlob object.
[in]ThresholdThreshold for conversion to a binary image.
[in]FeatureFeature range to be recognized as an object (blob). See TBlobFeatureType for possible features.
Returns
0 : OK
< 0: an error occurred.
Supported platforms:
Win32
Win64
Related Topics:
FBlobGetObjectFeatureRange, FBlobSetObjectFeatureRange

◆ FBlobSetObjectFeatureRange()

cvbres_t FBlobSetObjectFeatureRange ( FBLOB Handle,
long FeatureMin,
long FeatureMax )

Returns the gray-value range that is used for binarizing.

The two threshold values FeatureMin and FeatureMax define the gray value range that is set to 1. The values under the lower threshold and upper the upper threshold are set to 0.

Parameters
[in]HandleHandle of FBlob object.
[in]FeatureMinMinimum gray-value of features. The default value is 128.
[in]FeatureMaxMaximum gray-value of features. The default value is 255.
Returns
0 : OK
< 0: an error occurred.
Supported platforms:
Win32
Win64
Related Topics:
FBlobGetObjectFeatureRange, FBlobSetObjectFeature

◆ FBlobSetObjectTouchBorder()

cvbres_t FBlobSetObjectTouchBorder ( FBLOB Handle,
long Mask )

Sets the filter setting for objects which are touching one or more borders.

Parameters
[in]HandleHandle of FBlob object.
[in]MaskBorder mask to use. See TBlobTouchBorderFilter for possible settings.
Returns
0 : OK
< 0: an error occurred.
Supported platforms:
Win32
Win64
Related Topics:
FBlobGetObjectTouchBorder, TBlobTouchBorderFilter

◆ FBlobSetSkipBinarization()

cvbres_t FBlobSetSkipBinarization ( FBLOB Handle,
cvbbool_t Skip )

Specify whether the binarization should be carried out inside the blob tool or whether the tool may safely assume that the input is already a binarized 8 bits per pixel image.

Parameters
[in]HandleHandle of FBlob object.
[in]SkipTRUE specifies that the binarization is skipped.
FALSE indicates that the binarization is done inside the blob tool.
Returns
0 : OK
< 0: an error occurred.
Supported platforms:
Win32
Win64
Related Topics:
FBlobGetSkipBinarization

◆ FBlobSetSortMode()

cvbres_t FBlobSetSortMode ( FBLOB Handle,
TBlobSortMode SortMode,
long X,
long Y,
long LastEntry,
TBlobSortDirection Order )

Set up the sort mode and the sorting order of the blob objects.

Parameters
[in]HandleHandle of FBlob object.
[in]SortModeSort mode (criterion). See TBlobSortMode for possible modes.
[in]XWhen FBLOB_SORT_DISTANCE is selected, this value defines the X-coordinate for which the distance is calculated.
[in]YWhen FBLOB_SORT_DISTANCE is selected, this value defines the Y-coordinate for which the distance is calculated.
[in]LastEntryNumber of blobs to be sorted.
[in]OrderSort mode. See TBlobSortDirection for possible orders.
Returns
0 : OK
< 0: an error occurred.
Supported platforms:
Win32
Win64
Related Topics:
FBlobSetSortParameter

◆ FBlobSetSortParameter()

cvbres_t FBlobSetSortParameter ( FBLOB Handle,
TBlobSortMode SortMode,
long X,
long Y,
TBlobSortDirection Order )

Set up the sort mode and the sorting order for all blob objects.

Parameters
[in]HandleHandle of FBlob object.
[in]SortModeSort mode (criterion). See TBlobSortMode for possible modes.
[in]XWhen FBLOB_SORT_DISTANCE is selected, this value defines the X-coordinate for which the distance is calculated.
[in]YWhen FBLOB_SORT_DISTANCE is selected, this value defines the Y-coordinate for which the distance is calculated.
[in]OrderSort mode. See TBlobSortDirection for possible orders.
Supported platforms:
Win32
Win64
Related Topics:
FBlobSetSortMode

◆ FBlobSort()

cvbres_t FBlobSort ( FBLOB Handle)

Sorts the objects by certain criteria.

Parameters
[in]HandleHandle of FBlob object.
Supported platforms:
Win32
Win64
Related Topics:
FBlobSetSortMode, FBlobSetSortParameter

◆ IsFBlob()

BOOL IsFBlob ( FBLOB Handle)

Check if a handle points to an FBLOB object.

Parameters
[in]HandleHandle of FBlob object to be checked.
Returns
TRUE indicates that it is a valid handle, FALSE otherwise.
Supported platforms:
Win32
Win64
Related Topics:
FBlobCreate