Functions | |
| cvbres_t | CalculateMoments (IMG ImgIn, long Index, long left, long top, long right, long bottom, IMGMOMENTS Moments) |
| Calculates intermediate moments of the input image (or a sub-rectangle of it). | |
| IMGMOMENTS | CreateImageMoments (TMomentsCalculation CalcMode) |
| Create a moments calculator object. | |
| cvbres_t | GetCentralImageMoment (IMGMOMENTS Moments, long XOrder, long YOrder, cvbbool_t Normalized, double &Moment) |
| Retrieves one of the central image moments calculated by CalculateMoments. | |
| cvbres_t | GetHuImageMoments (IMGMOMENTS Moments, double &M1, double &M2, double &M3, double &M4, double &M5, double &M6, double &M7) |
| Retrieves the seven Hu moment invariants computed by CalculateMoments. | |
| cvbres_t | GetSpatialImageMoment (IMGMOMENTS Moments, cvbval_t XOrder, cvbval_t YOrder, cvbdim_t OffsetX, cvbdim_t OffsetY, cvbbool_t Normalized, double &Moment) |
| Retrieves one of the central image moments calculated by CalculateMoments. | |
| cvbres_t | ImageNormL1 (IMG ImgIn, cvbdim_t Index, cvbdim_t left, cvbdim_t top, cvbdim_t right, cvbdim_t bottom, cvbbool_t Normalize, double &Value) |
| Computes the L1-norm of image pixel values. | |
| cvbres_t | ImageNormL2 (IMG ImgIn, cvbdim_t Index, cvbdim_t left, cvbdim_t top, cvbdim_t right, cvbdim_t bottom, cvbbool_t Normalize, double &Value) |
| Computes the L2-norm of image pixel values. | |
| cvbres_t | ImageNormLInf (IMG ImgIn, cvbdim_t Index, cvbdim_t left, cvbdim_t top, cvbdim_t right, cvbdim_t bottom, cvbbool_t Normalize, double &Value) |
| Computes the infinity norm of image pixel values. | |
| BOOL | IsImageMoments (IMGMOMENTS Moments) |
| Checks if a handle points to a moments object. | |
| cvbres_t | WangImageQuality (IMG ImgIn1, long Index1, IMG ImgIn2, long Index2, double &Value) |
| Computes the universal image quality index after a method proposed by Z. Wang and A. C. Bovik. | |
| cvbres_t CalculateMoments | ( | IMG | ImgIn, |
| long | Index, | ||
| long | left, | ||
| long | top, | ||
| long | right, | ||
| long | bottom, | ||
| IMGMOMENTS | Moments ) |
Calculates intermediate moments of the input image (or a sub-rectangle of it).
| [in] | ImgIn | Handle of input image. |
| [in] | Index | Plane index of image to work on. |
| [in] | left | Left edge of the area of interest. |
| [in] | top | Top edge of the area of interest. |
| [in] | right | Right edge of the area of interest. |
| [in] | bottom | Bottom edge of the area of interest. |
| [out] | Moments | Pointer to the IMGMOMENTS object storing intermediate moment values. |
| IMGMOMENTS CreateImageMoments | ( | TMomentsCalculation | CalcMode | ) |
Create a moments calculator object.
The current computation algorithm is specified by the TMomentsCalculation argument, giving you the opportunity to choose between accuracy and speed.
| [in] | CalcMode | Computation algorithm. See TMomentsCalculation for possible algorithm. |
NULL if creation failed. | cvbres_t GetCentralImageMoment | ( | IMGMOMENTS | Moments, |
| long | XOrder, | ||
| long | YOrder, | ||
| cvbbool_t | Normalized, | ||
| double & | Moment ) |
Retrieves one of the central image moments calculated by CalculateMoments.
The moment order is specified by the integer exponents XOrder, YOrder.
| [in] | Moments | Moments object that contains intermediate image moments. |
| [in] | XOrder | Potential of x defining the moment order. These arguments must satisfy the condition 0 <= XOrder + YOrder <= 3. |
| [in] | YOrder | Potential of y defining the moment order. These arguments must satisfy the condition 0 <= XOrder + YOrder <= 3. |
| [in] | Normalized | TRUE specifies that the result moment is normalized, FALSE means that the moment is unnormalized to get the unnormalized moments. |
| [out] | Moment | Calculated central image moment. |
| cvbres_t GetHuImageMoments | ( | IMGMOMENTS | Moments, |
| double & | M1, | ||
| double & | M2, | ||
| double & | M3, | ||
| double & | M4, | ||
| double & | M5, | ||
| double & | M6, | ||
| double & | M7 ) |
Retrieves the seven Hu moment invariants computed by CalculateMoments.
| [in] | Moments | Moments object that contains intermediate image moments. |
| [out] | M1 | Hu moment 1. |
| [out] | M2 | Hu moment 2. |
| [out] | M3 | Hu moment 3. |
| [out] | M4 | Hu moment 4. |
| [out] | M5 | Hu moment 5. |
| [out] | M6 | Hu moment 6. |
| [out] | M7 | Hu moment 7. |
| cvbres_t GetSpatialImageMoment | ( | IMGMOMENTS | Moments, |
| cvbval_t | XOrder, | ||
| cvbval_t | YOrder, | ||
| cvbdim_t | OffsetX, | ||
| cvbdim_t | OffsetY, | ||
| cvbbool_t | Normalized, | ||
| double & | Moment ) |
Retrieves one of the central image moments calculated by CalculateMoments.
All spatial moment values are relative to the image ROI origin. You may also obtain spatial moment values relative to different point in the image, using the appropriate OffsetX, OffsetY settings. The moment order is specified by the integer exponents XOrder, YOrder.
| [in] | Moments | Moments object that contains intermediate image moments. |
| [in] | XOrder | Potential of x defining the moment order. These arguments must satisfy the condition 0 <= XOrder + YOrder <= 3. |
| [in] | YOrder | Potential of y defining the moment order. These arguments must satisfy the condition 0 <= XOrder + YOrder <= 3. |
| [in] | OffsetX | X-offset in pixels of the area of interest origin (top left corner) from the image origin. |
| [in] | OffsetY | Y-offset in pixels of the area of interest origin (top left corner) from the image origin. |
| [in] | Normalized | TRUE specifies that the result moment is normalized, FALSE means that the moment is unnormalized to get the unnormalized moments. |
| [out] | Moment | Calculated central image moment. |
| cvbres_t ImageNormL1 | ( | IMG | ImgIn, |
| cvbdim_t | Index, | ||
| cvbdim_t | left, | ||
| cvbdim_t | top, | ||
| cvbdim_t | right, | ||
| cvbdim_t | bottom, | ||
| cvbbool_t | Normalize, | ||
| double & | Value ) |
Computes the L1-norm of image pixel values.
The L1- norm is defined as the sum of absolute pixel values in an image: 
| [in] | ImgIn | Handle of input image. |
| [in] | Index | Plane index of image to work on. |
| [in] | left | Left edge of the area of interest. May be -1 to set the left edge of the image. |
| [in] | top | Top edge of the area of interest. May be -1 to set the top edge of the image. |
| [in] | right | Right edge of the area of interest. May be -1 to set the right edge of the image. |
| [in] | bottom | Bottom edge of the area of interest. May be -1 to set the bottom edge of the image. |
| [in] | Normalize | TRUE indicates that the result is normalized in the range 0 to 1, FALSE otherwise. |
| [out] | Value | The computed L1 norm of the pixel values. |
| cvbres_t ImageNormL2 | ( | IMG | ImgIn, |
| cvbdim_t | Index, | ||
| cvbdim_t | left, | ||
| cvbdim_t | top, | ||
| cvbdim_t | right, | ||
| cvbdim_t | bottom, | ||
| cvbbool_t | Normalize, | ||
| double & | Value ) |
Computes the L2-norm of image pixel values.
This norm is defined as the square root of the sum of squared pixel values in an image: 
| [in] | ImgIn | Handle of input image. |
| [in] | Index | Plane index of image to work on. |
| [in] | left | Left edge of the area of interest. May be -1 to set the left edge of the image. |
| [in] | top | Top edge of the area of interest. May be -1 to set the top edge of the image. |
| [in] | right | Right edge of the area of interest. May be -1 to set the right edge of the image. |
| [in] | bottom | Bottom edge of the area of interest. May be -1 to set the bottom edge of the image. |
| [in] | Normalize | TRUE indicates that the result is normalized in the range 0 to 1, FALSE otherwise. |
| [out] | Value | The computed L2 norm of the pixel values. |
| cvbres_t ImageNormLInf | ( | IMG | ImgIn, |
| cvbdim_t | Index, | ||
| cvbdim_t | left, | ||
| cvbdim_t | top, | ||
| cvbdim_t | right, | ||
| cvbdim_t | bottom, | ||
| cvbbool_t | Normalize, | ||
| double & | Value ) |
Computes the infinity norm of image pixel values.
This norm is defined as the largest absolute pixel value in an image: 
| [in] | ImgIn | Handle of input image. |
| [in] | Index | Plane index of image to work on. |
| [in] | left | Left edge of the area of interest. May be -1 to set the left edge of the image. |
| [in] | top | Top edge of the area of interest. May be -1 to set the top edge of the image. |
| [in] | right | Right edge of the area of interest. May be -1 to set the right edge of the image. |
| [in] | bottom | Bottom edge of the area of interest. May be -1 to set the bottom edge of the image. |
| [in] | Normalize | TRUE indicates that the result is normalized in the range 0 to 1, FALSE otherwise. |
| [out] | Value | The computed infinity norm of the pixel values. |
| BOOL IsImageMoments | ( | IMGMOMENTS | Moments | ) |
Checks if a handle points to a moments object.
| [in] | Moments | Moments pointer to an IMGMOMENTS object. |
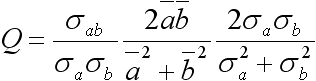
TRUE indicates that the handle is a valid pointer to an IMGMOMENTS object, FALSE otherwise. Computes the universal image quality index after a method proposed by Z. Wang and A. C. Bovik.
The method was published in IEEE Signal Processing Letters, vol. 9, no. 3, pp. 81-84, March 2002. This quality index gives a measure of similarity between an image and a reference image that is based on a product of
according to the following formula: 
with 


a and b refer to the two images involved (in their indexed appearance they denote an individual pixel, in their version with a horizontal bar they mean the average brightness of the image), N corresponds to the number of pixels in the image.
| [in] | ImgIn1 | Handle of first input image. |
| [in] | Index1 | Plane index of first image to work on. |
| [in] | ImgIn2 | Handle of second input image. |
| [in] | Index2 | Plane index of second image to work on. |
| [out] | Value | Computed quality index in the range between -1 and 1 (where 1 can only appear if the images are completely identical). |